Here are two analogous groups, Group-I and Group-II, that list words in their decreasing order of intensity. Identify the missing word in Group-II.
Group-I: Abuse → Insult → Ridicule.
Group-II: ________ → Praise → Appreciate
Had I learnt acting as a child, I ________ a famous film star.
Select the most appropriate option to complete the above sentence.
The 12 musical notes are given as . Frequency of each note is times the frequency of the previous note. If the frequency of the note C is 130.8 Hz, then the ratio of frequencies of notes and is:
The following figures show three curves generated using an iterative algorithm. The total length of the curve generated after 'Iteration ' is: Note: The figures shown are representative.

Which one of the following plots represents , where is a non-zero real number? Note: The figures shown are representative.
Identify the option that has the most appropriate sequence such that a coherent paragraph is formed:
P. Over time, such adaptations lead to significant evolutionary changes with the potential to shape the development of new species.
Q. In natural world, organisms constantly adapt to their environments in response to challenges and opportunities.
R. This process of adaptation is driven by the principle of natural selection, where favorable traits increase an organism's chances of survival and reproduction.
S. As environments change, organisms that can adapt their behavior, structure and physiology to such changes are more likely to survive.
A stick of length one meter is broken at two locations at distances of and from the origin (0), as shown in the figure. Note that . Which one of the following is NOT a necessary condition for forming a triangle using the three pieces? Note: All lengths are in meter. The figure shown is representative.

Eight students (P, Q, R, S, T, U, V, and W) are playing musical chairs. The figure indicates their order of position at the start of the game. They play the game by moving forward in a circle in the clockwise direction.
After the 1st round, 4th student behind P leaves the game. After 2nd round, 5th student behind Q leaves the game. After 3rd round, 3rd student behind V leaves the game. After 4th round, 4th student behind U leaves the game. Who all are left in the game after the 4th round?
Note: The figure shown is representative.
(All 4 options given are incorrect and marks have been awarded to all students as per the official GATE 2025 answer key. Added the question here for reference purpose only.)

The table lists the top 5 nations according to the number of gold medals won in a tournament; also included are the number of silver and the bronze medals won by them. Based only on the data provided in the table, which one of the following statements is INCORRECT?

An organization allows its employees to work independently on consultancy projects but charges an overhead on the consulting fee. The overhead is 20% of the consulting fee, if the fee is up to ₹ 5,00,000. For higher fees, the overhead is ₹ 1,00,000 plus 10% of the amount by which the fee exceeds ₹ 5,00,000. The government charges a Goods and Services Tax of 18% on the total amount (the consulting fee plus the overhead). An employee of the organization charges this entire amount, i.e., the consulting fee, overhead, and tax, to the client. If the client cannot pay more than ₹ 10,00,000, what is the maximum consulting fee that the employee can charge?
Consider the matrix below: . For which of the following combinations of , , and , is the rank of at least three?
(i) and .
(ii) .
(iii) and .
(iv) .
Consider the following series:
(i)
(ii)
(iii) .
Choose the correct option.
A pot contains two red balls and two blue balls. Two balls are drawn from this pot randomly without replacement. What is the probability that the two balls drawn have different colours?
Consider a frequency-modulated (FM) signal
,
where and are, respectively, the amplitude and frequency (in Hz) of the carrier waveform. The frequency is in Hz, and assume that . The peak frequency deviation of the FM signal in Hz is _______.
Consider an additive white Gaussian noise (AWGN) channel with bandwidth and noise power spectral density . Let denote the average transmit power constraint. Which one of the following plots illustrates the dependence of the channel capacity on the bandwidth (keeping and fixed)?
The Nyquist plot of a system is given in the figure below. Let , , , and be the positive frequencies at the points P, Q, R, and S, respectively. Which one of the following statements is TRUE?

Consider the discrete-time system below with input and output . In the figure, and denote the impulse responses of LTI Subsystems 1 and 2, respectively. Also, is the unit impulse, and . Assuming , the overall system (denoted by the dashed box) is _______.

Consider a continuous-time, real-valued signal whose Fourier transform exists. Which one of the following statements is always TRUE?
Consider a part of an electrical network as shown below. Some node voltages, and the current flowing through the resistor are as indicated. The voltage (in Volts) at node X is ______.

Let , , and be the currents flowing through the capacitor, inductor, and resistor, respectively, in the circuit given below. The AC admittances are given in Siemens (S). Which one of the following is TRUE?

A simplified small-signal equivalent circuit of a BJT-based amplifier is given below. The small-signal voltage gain (in V/V) is ___________.

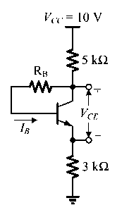
The ideal BJT in the circuit given below is biased in the active region with a of 100. If is 10 µA, then (in Volts, rounded off to two decimal places) is _______.

A 3-input majority logic gate has inputs X, Y, and Z. The output F of the gate is logic '1' if two or more of the inputs are logic '1'. The output F is logic '0' if two or more of the inputs are logic '0'. Which one of the following options is a Boolean expression of the output F?
A full adder and an XOR gate are used to design a digital circuit with inputs X, Y, and Z, and output F, as shown below. The input Z is connected to the carry-in input of the full adder. If the input Z is set to logic '1', then the circuit functions as ________ with X and Y as inputs.

Consider the function , defined as . Which of the following statements is/are correct? (Here, is the set of real numbers.)
Consider the unity-negative-feedback system shown in Figure (i) below, where gain . The root locus of this system is shown in Figure (ii) below. For what value(s) of K will the system in Figure (i) have a pole at ?

Let be a discrete-time signal whose z-transform is . Which of the following statements is/are TRUE?
Consider a message signal which is bandlimited to , where is in Hz. Consider the following two modulation schemes for the message signal:
Double sideband-suppressed carrier (DSB-SC): .
Amplitude modulation (AM): .
Here, and are the amplitude and frequency (in Hz) of the carrier, respectively. In the case of AM, denotes the modulation index. Consider the following statements:
(i) An envelope detector can be used for demodulation in the DSB-SC scheme if for all t.
(ii) An envelope detector can be used for demodulation in the AM scheme only if for all t.
Which of the following options is/are correct?
Which of the following statements is/are TRUE with respect to an ideal opamp?
Which of the following statements is/are TRUE with respect to ideal MOSFET-based DC-coupled single-stage amplifiers having finite load resistors?
Which of the following can be used as an n-type dopant for silicon? Select the correct option(s).
The function satisfies
,
where and denote the first and second derivatives of , respectively.
Given and , the maximum value of over is _____ (rounded off to two decimal places).
The generator matrix of a (6,3) binary linear block code is given by . The minimum Hamming distance between codewords equals _____ (answer in integer).
All the components in the bandpass filter given below are ideal. The lower dB frequency of the filter is 1 MHz. The upper dB frequency (in MHz, rounded off to the nearest integer) is __________.

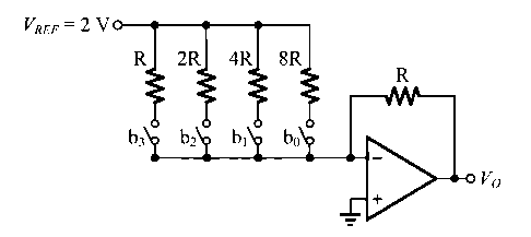
A 4-bit weighted-resistor DAC with inputs , and (MSB to LSB) is designed using an ideal opamp, as shown below. The switches are closed when the corresponding input bits are logic '1' and open otherwise. When the input changes from 1110 to 1101, the magnitude of the change in the output voltage (in mV, rounded off to the nearest integer) is ________.

Let be the transfer function of a second-order system. A controller is connected to the system in the configuration shown below. Consider the following statements.
(i) There exists no controller of the form , where is a positive real number, such that the closed loop system is stable.
(ii) There exists at least one controller of the form , where and are positive real numbers, such that the closed loop system is stable. Which one of the following options is correct?

Consider the polynomial . Let be defined as follows.
is the number of roots of with negative real parts.
is the number of roots of that are purely imaginary.
is the number of roots of with positive real parts.
Which one of the following options is correct?
Consider a continuous-time finite-energy signal whose Fourier transform vanishes outside the frequency interval , where is in rad/sec.
The signal is uniformly sampled to obtain . Here,
,
with being the Dirac impulse, , and . The sampled signal is passed through an ideal lowpass filter with cutoff frequency and passband gain .
The output of the filter is given by ________________.
In the circuit below, is an ideal AC voltmeter and is an ideal AC ammeter. The source voltage (in Volts) is . What should be the value of the variable capacitor such that the RMS readings on and are 25 V and 5 A, respectively?

The Z-parameter matrix of a two port network relates the port voltages and port currents as follows: . The Z-parameter matrix (with each entry in Ohms) of the network shown below is __________.

A source transmits symbol that takes values uniformly at random from the set . The receiver obtains , where is a zero-mean Gaussian random variable independent of . The receiver uses the maximum likelihood decoder to estimate the transmitted symbol . Suppose the probability of symbol estimation error is expressed as follows: , where denotes the probability that exceeds 1. What is the value of ?
Consider a real-valued random process
,
where and is a positive integer. Here, for and 0 otherwise. The coefficients are pairwise independent, zero-mean unit-variance random variables.
Read the following statements about the random process and choose the correct option.
(i) The mean of the process is independent of time .
(ii) The autocorrelation function is independent of time for all .
(Here, is the expectation operation.)
The identical MOSFETs M1 and M2 in the circuit given below are ideal and biased in the saturation region. M1 and M2 have a transconductance of 5 mS. The input signals (in Volts) are:
.
The output signal (in Volts) is __________.

A 10-bit analog-to-digital converter (ADC) has a sampling frequency of 1 MHz and a full scale voltage of 3.3 V. For an input sinusoidal signal with frequency 500 kHz, the maximum SNR (in dB, rounded off to two decimal places) and the data rate (in Mbps) at the output of the ADC are ________, respectively.
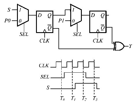
A positive-edge-triggered sequential circuit is shown below. There are no timing violations in the circuit. Input P0 is set to logic '0' and P1 is set to logic '1' at all times. The timing diagram of the inputs SEL and S are also shown below. The sequence of output Y from time T0 to T3 is ________.

The intrinsic carrier concentration of a semiconductor is /m³ at 300 K. If the electron and hole mobilities are 0.15 m²/Vs and 0.05 m²/Vs, respectively, then the intrinsic resistivity of the semiconductor (in kΩ.m) at 300 K is ________. (Charge of an electron C.)
In the circuit shown, the identical transistors Q1 and Q2 are biased in the active region with . The Zener diode is in the breakdown region with V and mA. If mA and V, then the values of and (in kΩ, rounded off to one decimal place) are ______, respectively.

The electron mobility in a non-degenerate germanium semiconductor at 300 K is 0.38 m²/Vs. The electron diffusivity at 300 K (in cm²/s, rounded off to the nearest integer) is _______. (Consider the Boltzmann constant J/K and the charge of an electron C.)
A square metal sheet of 4 m × 4 m is placed on the x-y plane as shown in the figure below. If the surface charge density (in µC/m²) on the sheet is , then the total charge (in µC, rounded off to the nearest integer) on the sheet is ________.

An electric field of 0.01 V/m is applied along the length of a copper wire of circular cross-section with diameter 1 mm. Copper has a conductivity of S/m. The current (in Amperes, rounded off to two decimal places) flowing through the wire is _________.
Consider a non-negative function which is continuous and bounded over the interval . Let and denote, respectively, the maximum and the minimum values of over the interval. Among the combinations of and given below, choose the one(s) for which the inequality is guaranteed to hold.
Which of the following statements involving contour integrals (evaluated counter-clockwise) on the unit circle in the complex plane is/are TRUE?
Consider a system where , , and are three internal state signals and is the input signal. The differential equations governing the system are given by . Which of the following statements is/are TRUE?
The random variable takes values in with probabilities and , where . Let denote the entropy of (in bits), parameterized by . Which of the following statements is/are TRUE?
Let be a periodic signal with fundamental period . Consider the signal , where . The Fourier series expansions of and are given by and . Which of the following statements is/are TRUE?
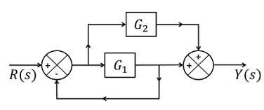
Consider a system represented by the block diagram shown below. Which of the following signal flow graphs represent(s) this system? Choose the correct option(s).

All the diodes in the circuit given below are ideal. Which of the following plots is/are correct when (in Volts) is swept from to ?

Two fair dice (with faces labeled 1, 2, 3, 4, 5, and 6) are rolled. Let the random variable denote the sum of the outcomes obtained. The expectation of is ______ (rounded off to two decimal places).
Consider the vectors , . For real-valued scalar variable , the value of is ____________ (rounded off to two decimal places). denotes the Euclidean norm, i.e., for , .
and are Bernoulli random variables taking values in . The joint probability mass function of the random variables is given by:
,
,
,
.
The mutual information is _________ (rounded off to two decimal places).
The diode in the circuit shown below is ideal. The input voltage (in Volts) is given by , where time is in seconds. The time duration (in ms, rounded off to two decimal places) for which the diode is forward biased during one period of the input is ___________.

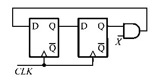
In the circuit shown below, the AND gate has a propagation delay of 1 ns. The edge-triggered flip-flops have a set-up time of 2 ns, a hold-time of 0 ns, and a clock-to-Q delay of 2 ns. The maximum clock frequency (in MHz, rounded off to the nearest integer) such that there are no setup violations is ________.

An ideal p-n junction germanium diode has a reverse saturation current of 10 µA at 300 K. The voltage (in Volts, rounded off to two decimal places) to be applied across the junction to get a forward bias current of 100 mA at 300 K is _____. (Consider the Boltzmann constant J/K and the charge of an electron C.)
A 50 Ω lossless transmission line is terminated with a load of Ω. If the average incident power on the line is 10 mW, then the average power delivered to the load (in mW, rounded off to one decimal place) is __________.
Two resistors are connected in a circuit loop of area 5 m², as shown in the figure below. The circuit loop is placed on the x-y plane. When a time-varying magnetic flux, with flux-density (in Tesla), is applied along the positive z-axis, the magnitude of current (in Amperes, rounded off to two decimal places) in the loop is ________.
