Courage : Bravery :: Yearning : ______ ?. Select the most appropriate option to complete the analogy.
We _______ tennis in the lawn when it suddenly started to rain. Select the most appropriate option to complete the above sentence.
A 4 × 4 digital image has pixel intensities (𝑈) as shown in the figure. The number of pixels with 𝑈≤4 is:

In the given figure, the numbers associated with the rectangle, triangle, and ellipse are 1, 2, and 3, respectively. Which one among the given options is the most appropriate combination of P, Q, and R?

A rectangle has a length L and a width W, where L > W. If the width, W, is increased by 10, which one of the following statements is correct for all values of L and W?
Column-I has statements made by Shanthala and Column-II has responses given by Kanishk. Identify the option that has the correct match between Column-I and Column-II.

Weight of a person can be expressed as a function of their age. The function usually varies from person to person. Suppose this function is identical for two brothers, and it monotonically increases till the age of 50 years and then it monotonically decreases. Let and (in years) denote the ages of the brothers and . Which one of the following statements is correct about their age on the day when they attain the same weight?
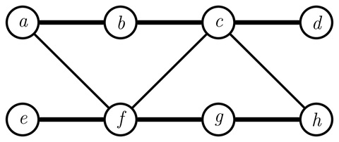
A regular dodecagon (12-sided regular polygon) is inscribed in a circle of radius r cm as shown in the figure. The side of the dodecagon is d cm. All the triangles (numbered 1 to 12) in the figure are used to form squares of side r cm and each numbered triangle is used only once to form a square. The number of squares that can be formed and the number of triangles required to form each square, respectively, are

If a real variable satisfies , then the value of is?
The number of patients per shift (𝑋) consulting Dr. Gita in her past 100 shifts is shown in the figure. If the amount she earns is ₹ 1000(𝑋−0.2), what is the average amount (in ₹) she has earned per shift in the past 100 shifts?

Suppose X and Y are random variables. The conditional expectation of X given Y is denoted by . Then equals
The number of additions and multiplications involved in performing Gaussian elimination on any upper triangular matrix is of the order
The sum of the elements in each row of is 1. If , which one of the following statements is correct ( for )?
Let , . Let denote the th derivative of evaluated at . What is the value of ?
Let p and q be any two propositions. Consider the following propositional statements: S1: , S2: , S3: , S4: , where denotes conjunction (AND operation), denotes disjunction (OR operation), and denotes negation (NOT operation). Which one of the following options is correct? (Note: denotes logical equivalence)
If a relational decomposition is not dependency-preserving, which one of the following relational operators will be executed more frequently in order to maintain the dependencies?

Consider a hash table of size 10 with indices {0, 1, ..., 9}, with the hash function
),
where linear probing is used to handle collisions. The hash table is initially empty and then the following sequence of keys is inserted into the hash table: 1, 4, 5, 6, 14, 15. The indices where the keys 14 and 15 are stored are, respectively
Let be a continuous random variable whose cumulative distribution function (CDF) , for some , is given as follows: . If the median of is 3, then what is the value of ?
Let , where is a standard normal random variable, and are two unknown constants. It is given that
, , ,
where denotes the expectation of random variable . The values of are
It is given that for an exponentially distributed random variable with , where denotes the expectation of . What is the value of ?
Consider designing a linear classifier , where , on a dataset , with and , . Recall that the sign function outputs if the argument is positive, and if the argument is non-positive. The parameters and are updated as per the following training algorithm:
,
whenever . In other words, whenever the classifier wrongly predicts a sample from the dataset, gets updated to , and likewise gets updated to . Consider the case with . Then
Consider the following Python declarations of two lists. A = [1,2,3], B = [4,5,6]. Which one of the following statements results in A = [1, 2, 3, 4, 5, 6]?
Consider two functions and . Both functions are differentiable at a point . Which of the following functions is/are ALWAYS differentiable at ? The symbol denotes product and the symbol denotes composition of functions.
Which of the following statements is/are correct?
Which of the following statements is/are correct in a Bayesian network?
For which of the following inputs does binary search take time in the worst case?
Let , where is the identity matrix and , . Which of the following options is/are correct?
Suppose that insertion sort is applied to the array [1, 3, 5, 7, 9, 11, x, 15, 13] and it takes exactly two swaps to sort the array. Select all possible values of .
Let and be two sets of objects. Let be a measure of dissimilarity between two objects and . Consider the following definitions of dissimilarity between and .
DIS-1: ,
DIS-2: .
Which of the following statements is/are correct?
There are three boxes containing white balls and black balls.
Box-1 contains 2 black and 1 white balls.
Box-2 contains 1 black and 2 white balls.
Box-3 contains 3 black and 3 white balls.
In a random experiment, one of these boxes is selected, where the probability of choosing Box-1 is , Box-2 is , and Box-3 is . A ball is drawn at random from the selected box. Given that the ball drawn is white, the probability that it is drawn from Box-2 is ______. (Round off to two decimal places)
______. (Round off to one decimal place)
On a relation named Loan of a bank: The following SQL query is executed.
SELECT L1.loan_number
FROM Loan L1
WHERE L1.amount > (SELECT MAX(L2.amount)
FROM Loan L2
WHERE L2.branch_name = 'SR Nagar').
The number of rows returned by the query is ______. (Answer in integer)

Given data {(-1, 1),(2, -5),(3, 5)} of the form , we fit a model using linear least-squares regression. The optimal value of is ______. (Round off to three decimal places)
The naive Bayes classifier is used to solve a two-class classification problem with class labels . Suppose the prior probabilities are and . Assuming a discrete feature space with and for a specific feature vector . The probability of misclassifying is ______. (Round off to two decimal places)
Let , where , where is a normal random variable with mean and variance . The variance of is
Let be such that . Which one of the following statements is ALWAYS correct?
Let be a set of linearly independent vectors in . Let the -th element of matrix be given by , . Which one of the following statements is correct?
Consider the cumulative distribution function (CDF) of a random variable : . The value of is
A random variable is said to be distributed as , denoted by ,
if and
for . Let , where for are independent and identically distributed random variables with . The value of , after approximation through the Central Limit Theorem, is given by. Recall that .
For , the floor function is denoted by and defined as follows: , where , where is an integer. Let , where is an exponentially distributed random variable with mean , where denotes natural logarithm. For any positive integer , one can write the probability of the event as follows: . The value of is
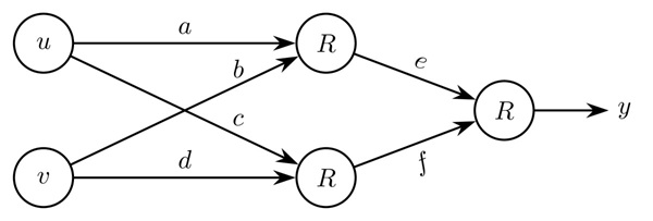
Consider the neural network shown in the figure with
inputs ;
weights ;
output ;
denotes the ReLU function, . Given , which one of the following is correct?

Consider game trees Tree-1 and Tree-2 as shown. The first level is a MAX agent and the second level is a MIN agent. The value in the square node is the output of the utility function. For what ranges of and , the right child of node B and the right child of node E will be pruned by alpha-beta pruning algorithm?

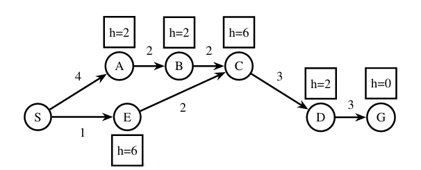
The state graph shows the action cost along the edges and the heuristic function associated with each state. Suppose A* algorithm is applied on this state graph using priority queue to store the frontier. In what sequence are the nodes expanded?

A random experiment consists of throwing 100 fair dice, each die having six faces numbered 1 to 6. An event A represents the set of all outcomes where at least one of the dice shows a 1. Then,
Consider a fact table in an OLAP application: , where and are its dimension attributes and is a dependent attribute. Suppose attribute takes 3 values and takes 2 values, and all combinations of these values are present in the table . How many tuples are there in the result of the following query?
Consider the following Python code snippet. When the below program is executed, at the end, which of the following sets contains "this"?

Which of the following statements is/are correct about the rectified linear unit (ReLU) activation function defined as , where ?
Consider the function , . Which of the following statements is/are correct?
Let be a system of orthonormal vectors in . Consider the matrix . Which of the following statements is/are correct?
Let be a twice-differentiable function and suppose its second derivative satisfies for all . Which of the following statements is/are ALWAYS correct?
An matrix with real entries satisfies the property , for all , where denotes the Euclidean norm. Which of the following statements is/are ALWAYS correct?
Consider designing a linear binary classifier , , on the following training data: ; . The hard-margin support vector machine (SVM) formulation is solved to obtain and . Which of the following options is/are correct?
Consider a coin-toss experiment where the probability of head showing up is . In the th coin toss, let if head appears, and if tail appears. Consider where is the total number of independent coin tosses. Which of the following statements is/are correct?
Consider a two-class problem in with class labels red and green. Let and be the means of the two classes. Given test sample , a classifier calculates the squared Euclidean distance denoted by between and the means of the two classes and assigns the class label that the sample is closest to. That is, the classifier computes and assigns the label red to if , and green otherwise. Which of the following statements is/are correct?
Consider the following two relations, named Customer and Person, in a database. Which of the following statements is/are correct?

Consider a database relation with attributes , and having the following functional dependencies: , , . Which of the following statements is/are correct?
Let be a simple, unweighted, and undirected graph. A subset of the vertices and edges of are shown below. It is given that: is a shortest path between and ; is a shortest path between and ; is a shortest path between and . Which of the following is/are NOT the edges of ?

Let be such that for all . Then (Answer in integer).
Let be a dataset of observations where each . It is given that . The covariance matrix computed from has eigenvalues , . Let be the direction of maximum variance with . The value of = ________ (Answer in integer).
A bag contains 5 white balls and 10 black balls. In a random experiment, balls are drawn from the bag one at a time with replacement. Let denote the total number of black balls drawn in the experiment. The expectation of denoted by ______. (Round off to one decimal place)
Consider the following tables, Loan and Borrower, of a bank.

Consider the following Python code snippet. The value printed by the code snippet is ______.

Consider the following pseudocode. The value of sum output by a program executing the above pseudocode is ______.

Consider a directed graph , where and . Suppose the adjacency list of each vertex is in decreasing order of vertex number, and depth-first search (DFS) is performed at vertex 0. The number of vertices that will be discovered after vertex 50 is ______.