If '→' denotes increasing order of intensity, then the meaning of the words [walk → jog → sprint] is analogous to [bothered → ________ → daunted]. Which one of the given options is appropriate to fill the blank?
Two wizards try to create a spell using all the four elements, water, air, fire, and earth. For this, they decide to mix all these elements in all possible orders. They also decide to work independently. After trying all possible combination of elements, they conclude that the spell does not work. How many attempts does each wizard make before coming to this conclusion, independently?
In an engineering college of 10,000 students, 1,500 like neither their core branches nor other branches. The number of students who like their core branches is 1/4th of the number of students who like other branches. The number of students who like both their core and other branches is 500. The number of students who like their core branches is
For positive non-zero real variables and , if then, the value of is
In the sequence 6, 9, 14, x, 30, 41, a possible value of is
Sequence the following sentences in a coherent passage.
P: This fortuitous geological event generated a colossal amount of energy and heat that resulted in the rocks rising to an average height of 4 km across the contact zone.
Q: Thus, the geophysicists tend to think of the Himalayas as an active geological event rather than as a static geological feature.
R: The natural process of the cooling of this massive edifice absorbed large quantities of atmospheric carbon dioxide, altering the earth's atmosphere and making it better suited for life.
S: Many millennia ago, a breakaway chunk of bedrock from the Antarctic Plate collided with the massive Eurasian Plate.
A person sold two different items at the same price. He made 10% profit in one item, and 10% loss in the other item. In selling these two items, the person made a total of
The pie charts depict the shares of various power generation technologies in the total electricity generation of a country for the years 2007 and 2023. The renewable sources of electricity generation consist of Hydro, Solar and Wind. Assuming that the total electricity generated remains the same from 2007 to 2023, what is the percentage increase in the share of the renewable sources of electricity generation over this period?

A cube is to be cut into 8 pieces of equal size and shape. Here, each cut should be straight and it should not stop till it reaches the other end of the cube. The minimum number of such cuts required is
In the 4 × 4 array shown below, each cell of the first three rows has either a cross (X) or a number. The number in a cell represents the count of the immediate neighboring cells (left, right, top, bottom, diagonals) NOT having a cross (X). Given that the last row has no crosses (X), the sum of the four numbers to be filled in the last row is

Consider a computer with a 4 MHz processor. Its DMA controller can transfer 8 bytes in 1 cycle from a device to main memory through cycle stealing at regular intervals. Which one of the following is the data transfer rate (in bits per second) of the DMA controller if 1% of the processor cycles are used for DMA?
Let and be the following propositions:
: Fail grade can be given.
: Student scores more than 50% marks.
Consider the statement: "Fail grade cannot be given when student scores more than 50% marks."
Which one of the following is the CORRECT representation of the above statement in propositional logic?
Consider the following C program. Assume parameters to a function are evaluated from right to left. Which one of the following options is the CORRECT output of the above C program?

The format of a single-precision floating-point number as per the IEEE 754 standard is:

Let be the recurrence relation defined as follows: , , and for . Which one of the following statements is TRUE?
Let be a continuous function from to such that . Which one of the following options is the CORRECT value of ?
Let be the adjacency matrix of a simple undirected graph . Suppose is its own inverse. Which one of the following statements is always TRUE?
When six unbiased dice are rolled simultaneously, the probability of getting all distinct numbers (i.e., 1, 2, 3, 4, 5, and 6) is
Once the DBMS informs the user that a transaction has been successfully completed, its effect should persist even if the system crashes before all its changes are reflected on disk. This property is called
In the context of owner and weak entity sets in the ER (Entity-Relationship) data model, which one of the following statements is TRUE?
Consider the following two sets: Set X:

Which one of the following regular expressions is equivalent to the language accepted by the DFA given below?

Node X has a TCP connection open to node Y. The packets from X to Y go through an intermediate IP router R. Ethernet switch S is the first switch on the network path between X and R. Consider a packet sent from X to Y over this connection. Which of the following statements is/are TRUE about the destination IP and MAC addresses on this packet at the time it leaves X?
Which of the following tasks is/are the responsibility/responsibilities of the memory management unit (MMU) in a system with paging-based memory management?
Consider a process P running on a CPU. Which one or more of the following events will always trigger a context switch by the OS that results in process P moving to a non-running state (e.g., ready, blocked)?
Which of the following file organizations is/are I/O efficient for the scan operation in DBMS?
Which of the following statements about the Two Phase Locking (2PL) protocol is/are TRUE?
Which of the following statements about IPv4 fragmentation is/are TRUE?
Which of the following statements is/are FALSE?
For a Boolean variable , which of the following statements is/are FALSE?
An instruction format has the following structure:
Instruction Number: Opcode destination reg, source reg-1, source reg-2.
Consider the following sequence of instructions to be executed in a pipelined processor:
I1: DIV R3, R1, R2;
I2: SUB R5, R3, R4;
I3: ADD R3, R5, R6;
I4: MUL R7, R3, R8.
Which of the following statements is/are TRUE?
Which of the following fields of an IP header is/are always modified by any router before it forwards the IP packet?
Consider the following C function definition.

Let be the partial order defined on the set as follows
.
The number of total orders on that contain is __________
Let be an array containing integer values. The distance of is defined as the minimum number of elements in that must be replaced with another integer so that the resulting array is sorted in non-decreasing order. The distance of the array [2, 5, 3, 1, 4, 2, 6] is ___________
What is the output of the following C program?

Consider a single processor system with four processes A, B, C, and D, represented as given below, where for each process the first value is its arrival time, and the second value is its CPU burst time.
A (0, 10), B (2, 6), C (4, 3), and D (6, 7).
Which one of the following options gives the average waiting times when preemptive Shortest Remaining Time First (SRTF) and Non-Preemptive Shortest Job First (NP-SJF) CPU scheduling algorithms are applied to the processes?
Which one of the following CIDR prefixes exactly represents the range of IP addresses 10.12.2.0 to 10.12.3.255?
You are given a set of distinct integers. A binary search tree is created by inserting all elements of one by one, starting with an empty tree. The tree follows the convention that, at each node, all values stored in the left subtree of the node are smaller than the value stored at the node. You are not aware of the sequence in which these values were inserted into , and you do not have access to . Which one of the following statements is TRUE?
Consider the following context-free grammar where the start symbol is and the set of terminals is .

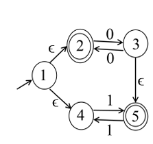
Let be the 5-state NFA with -transitions shown in the diagram below. Which one of the following regular expressions represents the language accepted by ?

Consider an array X that contains n positive integers. A subarray of X is defined to be a sequence of array locations with consecutive indices. The C code snippet given below has been written to compute the length of the longest subarray of X that contains at most two distinct integers. The code has two missing expressions labelled and .

Consider the following expression: . The following sequence shows the list of triples representing the given expression, with entries missing for triples (1), (3), and (6).

Let and be random variables, not necessarily independent, that take real values in the interval [0,1]. Let and let the mean values of , , be , , , respectively. Which one of the following statements is TRUE?
The relation schema, Person(pid,city), describes the city of residence for every person uniquely identified by pid. The following relational algebra operators are available: selection, projection, cross product, and rename. To find the list of cities where at least 3 persons reside, using the above operators, the minimum number of cross product operations that must be used is
Consider a multi-threaded program with two threads T1 and T2. The threads share two semaphores: s1 (initialized to 1) and s2 (initialized to 0). The threads also share a global variable x (initialized to 0). The threads execute the code shown below.

Let be an matrix over the set of all real numbers . Let be a matrix obtained from by swapping two rows. Which of the following statements is/are TRUE?
Let S1 and S2 be two stacks. S1 has capacity of 4 elements. S2 has capacity of 2 elements. S1 already has 4 elements: 100, 200, 300, and 400, whereas S2 is empty, as shown below.

Which of the following is/are EQUAL to 224 in radix-5 (i.e., base-5) notation?
Consider 4-variable functions f1, f2, f3, f4 expressed in sum-of-minterms form as given below.
f1 = ,
f2 = ,
f3 = ,
f4 = .

Let be an undirected connected graph in which every edge has a positive integer weight. Suppose that every spanning tree in has even weight. Which of the following statements is/are TRUE for every such graph ?
Consider a context-free grammar with the following 3 rules.
, , . Let
Let , , denote the number of times , , occur in , respectively. Which of the following statements is/are TRUE?
Consider a disk with the following specifications: rotation speed of 6000 RPM, average seek time of 5 milliseconds, 500 sectors/track, 512-byte sectors. A file has content stored in 3000 sectors located randomly on the disk. Assuming average rotational latency, the total time (in seconds, rounded off to 2 decimal places) to read the entire file from the disk is _________
Consider a TCP connection operating at a point of time with the congestion window of size 12 MSS (Maximum Segment Size), when a timeout occurs due to packet loss. Assuming that all the segments transmitted in the next two RTTs (Round Trip Time) are acknowledged correctly, the congestion window size (in MSS) during the third RTT will be _________
Consider an Ethernet segment with a transmission speed of bits/sec and a maximum segment length of 500 meters. If the speed of propagation of the signal in the medium is meters/sec, then the minimum frame size (in bits) required for collision detection is _________
A functional dependency is termed as a useful functional dependency if and only if it satisfies all the following three conditions:
• is not the empty set.
• is not the empty set.
• Intersection of and is the empty set.
For a relation with 4 attributes, the total number of possible useful functional dependencies is ________
A processor with 16 general purpose registers uses a 32-bit instruction format. The instruction format consists of an opcode field, an addressing mode field, two register operand fields, and a 16-bit scalar field. If 8 addressing modes are to be supported, the maximum number of unique opcodes possible for every addressing mode is _________
A non-pipelined instruction execution unit operating at 2 GHz takes an average of 6 cycles to execute an instruction of a program P. The unit is then redesigned to operate on a 5-stage pipeline at 2 GHz. Assume that the ideal throughput of the pipelined unit is 1 instruction per cycle. In the execution of program P, 20% instructions incur an average of 2 cycles stall due to data hazards and 20% instructions incur an average of 3 cycles stall due to control hazards. The speedup (rounded off to one decimal place) obtained by the pipelined design over the non-pipelined design is _________
The number of distinct minimum-weight spanning trees of the following graph is _________

The chromatic number of a graph is the minimum number of colours used in a proper colouring of the graph. The chromatic number of the following graph is _________

A processor uses a 32-bit instruction format and supports byte-addressable memory access. The ISA of the processor has 150 distinct instructions. The instructions are equally divided into two types, namely R-type and I-type, whose formats are shown below.

Let be the language represented by the regular expression and , where denotes the length of string . The number of strings in which are also in is ___________
Let be the group of integers with addition modulo as the group operation. The number of elements in the group that are their own inverses is ________
Consider a 32-bit system with 4 KB page size and page table entries of size 4 bytes each. Assume 1 KB = bytes. The OS uses a 2-level page table for memory management, with the page table containing an outer page directory and an inner page table. The OS allocates a page for the outer page directory upon process creation. The OS uses demand paging when allocating memory for the inner page table, i.e., a page of the inner page table is allocated only if it contains at least one valid page table entry.
An active process in this system accesses 2000 unique pages during its execution, and none of the pages are swapped out to disk. After it completes the page accesses, let X denote the minimum and Y denote the maximum number of pages across the two levels of the page table of the process. The value of X+Y is ________
Consider the following augmented grammar, which is to be parsed with a SLR parser. The set of terminals is .
.
Let . The number of items in the set is ___________